Картинки из квадратов \ Теоретико-множественная математика \ Theoretical Computer Science \ Основы теории дискретных логических и вычислительных устройств (Л. А. Шоломов, 1980) \ Модели алгоритмов \ Частично - рекурсивные функции \

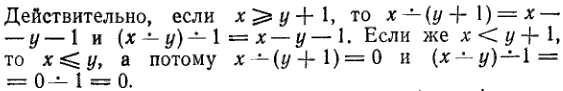
9.7.5.4.2.3. Примеры рекурсивных функций

 
Начало см. здесь и здесь.
Шоломов Л. А.
Основы теории дискретных логических и вычислительных устройств.
М.: Наука, 1980, cc. 176 — .



К началу данной страницы  
Картинки из квадратов \ Теоретико-множественная математика \ Theoretical Computer Science \ Основы теории дискретных логических и вычислительных устройств (Л. А. Шоломов, 1980) \ Модели алгоритмов \ Частично - рекурсивные функции \