Картинки из квадратов \ Арифметика "на квадратах" \ Некоторые факты элементарной математики \ Натуральные числа \ Начала теоретической (или 'высшей') арифметики \ Последняя теорема Ферма (Г. Эдвардс, 1980) \ Приложение. Натуральные числа \

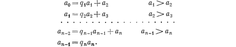
7.4.1.2.19.10.2. Алгорифм Евклида

Начало см. здесь и здесь.
Эдвардс Г.
Последняя теорема Ферма.
Генетическое введение в алгебраическую теорию чисел.
Пер. с англ., М.: Мир, 1980, cc. 440 — 441.
Раздел об алгоритме Евклида см. здесь. Перевод на русский язык исходного текста Евклида см. здесь.



О принципе бесконечного спуска см. здесь.
Продолжение см. здесь.
К началу данной страницы
Картинки из квадратов \ Арифметика "на квадратах" \ Некоторые факты элементарной математики \ Натуральные числа \ Начала теоретической (или 'высшей') арифметики \ Последняя теорема Ферма (Г. Эдвардс, 1980) \ Приложение. Натуральные числа \