Картинки из квадратов \ Арифметика "на квадратах" \ Некоторые факты элементарной математики \ Натуральные числа \ Начала теоретической (или 'высшей') арифметики \ Элементы теории чисел (Д. Ф. Егоров, 1923) \ Числовые функции. Интегралы по делителям \
 

7.4.1.2.17.3.1. Общая теория
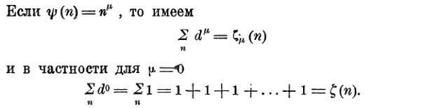
интегралов по делителям

Начало см. здесь.
Егоров Д.Ф.
Элементы теории чисел.
М.-П.: ГИ, 1923, cc. 39 — .
Популярное объяснение понятия "функция" см. у Я. Стюарта здесь.




Продолжение см. здесь.
  К началу данной страницы
Картинки из квадратов \ Арифметика "на квадратах" \ Некоторые факты элементарной математики \ Натуральные числа \ Начала теоретической (или 'высшей') арифметики \ Элементы теории чисел (Д. Ф. Егоров, 1923) \ Числовые функции. Интегралы по делителям \