Картинки из квадратов \ Арифметика "на квадратах" \ Некоторые факты элементарной математики \ Натуральные числа \ Начала теоретической (или 'высшей') арифметики \ Теория чисел (А. А. Бухштаб, 1966) \
 

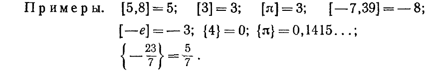
7.4.1.2.24.4. Функция [x]

 
Начало см. здесь.
Бухштаб А. А.  Теория чисел.
М.: Просвещение, 1966, cc. 48 — 58.
7.4.1.2.24.4.2. Точки с целочисленными координатами
Определение "числовых функций" см. здесь. О "числовых функциях" в учебнике Д. Ф. Егорова см. здесь. Определение функции см. здесь.



7.4.1.2.24.4.2. Точки с целочисленными координатами
  К началу данной страницы  
Картинки из квадратов \ Арифметика "на квадратах" \ Некоторые факты элементарной математики \ Натуральные числа \ Начала теоретической (или 'высшей') арифметики \ Теория чисел (А. А. Бухштаб, 1966) \