Картинки из квадратов \ Теоретико-множественная математика \ Что такое "множество" (более подробно) \ Отрывок из книги В. Г. Карпова и В. А. Мощенского 'Математическая логика и дискретная математика' (1977г.) \

9.2.4.4. Два основных способа задания множеств

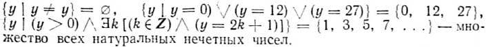
Начало см. здесь и здесь.
Карпов В. Г., Мощенский В. А.
Математическая логика и дискретная математика.
Мн.: Вышэйшая школа, 1977, cс. 63 — 64.


Продолжение см. здесь.